Проверка и регулировка ТНВД во время осмотров заключается в проверках плотности, определении момента начала или окончания подачи топлива, равномерности подачи топлива по цилиндрам и установке нулевого положения. Проведение этих операций, как правило, описывается заводской инструкцией с учетом типа ТНВД, установленных на двигателе. Если таких рекомендаций завода-изготовителя нет, то можно проводить эти проверки так, как будет изложено ниже.
Проверка угла опережения подачи топлива в тнвд с регулировкой конца подачи
Для проверки угла опережения подачи топлива необходимо выполнить следующие операции:
а) Отсоединить форсуночную трубку от штуцера ТНВД.
б) Прокачать ТНВД до полного вытеснения воздуха.
в) Навернуть на штуцер ТНВД гайку со стеклянной капиллярной трубкой, внутренний диаметр которой не более 1—1,5 мм.
г) Заполнить частично капиллярную трубку топливом, прокачивая ТНВД.
д) Медленно проворачивая двигатель по ходу, наблюдать за поверхностью топлива в капиллярной трубке; момент, когда уровень топлива стронется с места, соответствует началу подачи топлива.
е) Замерить угол, на который мотыль проверяемого цилиндра не дошел до В.М.Т. Величина угла опережения подачи топлива, измеренная относительно В.М.Т. по маховику, должна соответствовать данной в заводской инструкции.
Измерение угла опережения подачи топлива необходимо произвести 2—3 раза. При несовпадении полученных углов опережения с данными заводской инструкции, регулирование угла опережения подачи топлива в ТНВД с регулировкой конца подачи производится следующим образом:
- Поворотом на распределительном валу кулачной шайбы ТНВД.
- Изменением положения соединительной муфты распределительного вала для дизелей с кулачными шайбами, не допускающими поворота.
- Окончательная регулировка производится изменением длины регулируемого толкателя ТНВД, чем изменяется положение плунжера в его втулке (для ТНВД золотникового типа) или величина холостого хода толкателя (для насосов других типов). При этом надо иметь в виду, что регулировка угла опережения подачи топлива изменением длины регулируемого толкателя связана с изменением величины открытия всасывающего окна, поэтому изменять длину толкателя можно только в пределах нормального открытия окна.
Регулирование момента начала подачи топлива должно производиться при положении рейки ТНВД, соответствующем режиму полного хода.
Проверка угла опережения подачи топлива в тнвд с регулировкой начала подачи
Для проверки угла опережения подачи топлива необходимо выполнить следующие операции:
- Сначала необходимо определить момент начала подачи топлива, как описано в предыдущем разделе.
- Затем, продолжая медленно проворачивать двигатель, наблюдать за повышением уровня топлива в капиллярной трубке. Момент, когда уровень топлива в капиллярной трубке остановится, соответствует концу подачи топлива.
Далее все делается также, как описано в предыдущем разделе.
Простые способы проверки угла опережения подачи топлива
1. У ТНВД с регулировкой конца подачи топлива проверяется начало подачи топлива, для чего необходимо установить зазор между роликом толкателя и цилиндрической частью кулачной шайбы в соответствии с инструкцией завода-изготовителя. При проворачивании двигателя на передний ход улавливается момент соприкосновения ролика с выступающей частью кулачной шайбы. Угол отклонения мотыля относительно ВМТ поршня должен соответствовать углу, указанному в заводской инструкции.
2. У ТНВД с регулировкой начала подачи топлива проверяется конец его подачи, т.е. момент, когда ролик толкателя находится на вершине кулака. Угол окончания подачи топлива относительно ВМТ поршня должен соответствовать углу, указанному в заводской инструкции.
3. У ТНВД золотникового типа отсоединяется форсуночная трубка и вынимается нагнетательный клапан насоса. Насос прокачивается до полного удаления воздуха, и его штуцер просто закрывается пальцем. Затем проворачивается коленчатый вал двигателя. Проворачивание останавливается в момент резкого повышения давления, ощущаемого пальцем на штуцере. Это и есть момент начала подачи топлива. При этом на маховике фиксируется угол отклонения мотыля относительно ВМТ.
Проверка установки «нулевого положения» тнвд всех типов
Для обеспечения одновременного и надежного выключения ТНВД при остановке дизеля необходимо, чтобы все ТНВД были установлены на «нулевое положение». Перед проверкой «нулевого положения» ТНВД необходимо проверить положение тяг управления насосами, убедиться в отсутствии в них ненормальных зазоров, люфтов, заеданий.
Установку «нулевого положения» ТНВД всех типов можно производить следующим образом:
- Для всех ТНВД дизеля выполнить операции, указанные в разделе «Проверка угла опережения подачи топлива в ТНВД с регулировкой конца подачи», п.п. а, б, в, г.
- Поставить рычаг (штурвал) поста управления в положение «Работа» так, чтобы показатель отсечки штурвала находился между 1 и 2 делениями шкалы.
- Воздействуя на механизм регулировки каждого ТНВД, добиться такого положения, когда уровень топлива в капилляре при медленном вращении коленчатого вала будет оставаться неизменным.
Практическая работа №10
Проверка
и регулировка ТНВД золотникового типа.
Тема:
Проверка и регулировка ТНВД золотникового типа
Цель:
Приобрести практические навыки по проверке и регулировке ТНВД.
Оборудование:
ТНВД двигателя NVD-26, моментоскоп, чистая бельевая ветошь.
Рис. 1.
Конструкция ТНВД золотникового типа
1,
52 – контргайка; 2 – полумуфта; 3 – шпонка; 4 – крышка передняя; 5 – манжета;
6 – роликоподшипник; 7 – корпус насоса; 8 – рукоятка; 9 – валики
эксцентриковые; 10, 24, 40 – штуцер; 11, 38, 46 – крышки; 12 – валик
кулачковый; 13, 21, 37 – прокладка; 14 – крышка задняя; 15 – болт; 16 –
манжета; 17 – пробка; 18 – пружина; 19 – ввертыш; 20 – штуцер; 22 – плунжер;
23 – втулка плунжерная; 25 – ограничитель; 26 – серьга; 27 – контргайка; 28 –
вилка; 29 – рейка; 30 – втулка; 31 – пробка; 32 – седло клапана; 33 – клапан;
34 – пружина клапана; 35 – штуцер нажимной; 36 – ограничитель; 39, 43, 51 –
болт стопорный; 41 – винт; 42 – венец зубчатый; 44 – тарелка верхняя; 45 –
втулка поворотная; 47 – жиклеры; 48 – пружина плунжера; 49 – тарелка нижняя;
50 – болт регулировочный; 53 – толкатель; 54 – ролики; 55 – втулки; 56 – ось.
ТНВД двигателя NVD-26
золотникового типа, блочный, с ходом плунжера 12
мм. Насос предназначен: для впрыска дозированных порций топлива в камеру
сгорания, для создания необходимого давления впрыска, качественного
распыливания топлива, подачи дозы топлива за определенный промежуток времени и
в определенной фазе цикла, для получения оптимального закона впрыска и создания
одинаковых условий впрыска во всех цилиндрах. Корпус 7 насоса имеет шесть
ступенчатых вертикальных отверстий, в каждое из которых вставлен толкатель 53,
тарелка нижняя 49, пружина 48, тарелка верхняя 44, плунжерная пара 22,
нагнетательный клапан 33, уплотняющая прокладка 37 и нажимной штуцер 35. Снизу
корпус закрывается штампованной крышкой 11, которая уплотняется прокладкой 13.
В нижней части корпуса насоса монтируется кулачковый
валик 12, который опирается концевыми шейками на два роликоподшипника 6. В
верхней части корпуса расположен топливоподводящий канал. Топливо, необходимое
для питания насоса, поступает в канал через штуцер 40, расположенный со стороны
привода насоса. Роликоподшипники устанавливаются в корпусе и закрываются
крышками 4 и 14, которые крепятся к торцам корпуса с помощью болтов 15. Крышки
4 и 14 имеют цилиндрический выступ, которым они центрируются в гнезде корпуса.
Осевое перемещение кулачкового валика ограничивается
зазором между торцами обоймы роликоподшипника и выступа крышки 14, который
выставляется в пределах 0,2 – 0,4 мм подбором прокладок 21 разной толщины.
Концы кулачкового вала уплотняются самоподжимными манжетами 5 и 16,
запрессованными в крышки 4 и 14. Стальной кулачковый валик имеет шесть
кулачков, расположенных относительно друг друга под углом 60º, соответственно
порядку работы цилиндров дизеля. Для увеличения скоростей движения плунжера в
период впрыска топлива в цилиндр дизеля, способствующих улучшению параметров
топливоподачи, профиль кулачков выполняется вогнутым.
На правый конусный конец валика насаживается на шпонке
полумуфта 2 привода топливного насоса, которая крепится на валике с помощью
гайки и контрогайки 1. От противоположного конца валика через пробку 17,
пружину 18, ввертыш 19 проводится в действие датчик тахометра ТЭ204, который
устанавливается на штуцере 20, ввернутом в крышку 14 насоса.
Передача к плунжерам осуществляется через толкатели
53, ролики 54, вращающиеся на втулках 55 и имеющие свободное перемещение на
осях 56. От проворачивания толкатели фиксируются стопорными болтами 51,
цилиндрический конец которых входит в продольный паз толкателя, в связи с чем
толкатели при вращении кулачкового валика совершают возвратно-поступательное
движение. Для регулирования моментов начала подачи топлива толкатели снабжены
регулировочными болтами 50 с контргайкой 52, с помощью которых изменяется
осевое положение плунжеров. Начало подачи топлива определяется углом поворота
кулачкового валика с отклонением не более ±30´, при этом за нуль отсчета
принимается начало подачи топлива первой секции насоса с допуском не более 1º.
Для ручной прокачки секций насоса перед запуском дизеля, а также для их
отключения во время работы служат эксцентриковые валики 9.
Цилиндрический выступ эксцентрикового валика входит в
паз толкателя. При вращении эксцентрика под воздействием толкателя и пружины 48
плунжер совершает возвратно-поступательное движение. Для отключения секций
насоса эксцентриковые валики проворачиваются в корпусе в специальных гнездах и
фиксируется от выпадения крышками 46. Верхняя утолщенная часть втулки 23
находится в топливоподводящем канале. В ней имеются два смещенных по высоте
отверстия, расположенных в одной плоскости на противоположных сторонах втулки.
Верхнее отверстие служит для наполнения надплунжерного объема топливом. Нижнее
отверстие является отсечным и имеет паз для фиксации втулки от проворачивания.
Фиксация осуществляется ввертыванием в корпус насоса болта 39, цилиндрический
хвостовик которого входит в паз втулки. Топливо, перетекающее через зазоры в
плунжерной паре, отводится в топливоподающий канал корпуса через дренажное
отверстие во втулке.
Плунжер 22 имеет два винтовых паза. Верхняя винтовая
кромка любого из низ является отсечной. При ходе плунжера вверх подача топлива
к форсункам начинается только в том случае, когда оба отверстия во втулке
перекрыты плунжером. Подача топлива прекращается в момент открытия нижнего
отверстия во втулке отсеченной винтовой кромкой. При этом первоначально объем
над плунжером сообщается с полостью всасывания через осевое и радиальное
сверления, паз плунжера и нижнее отверстие втулки, затем через сверление,
второй паз плунжера и верхнее отверстие втулки. Чем больше часть хода плунжера
вверх, во время которого отверстия во втулке перекрыты плунжером, тем больше
топлива подается в цилиндр дизеля.

подаваемого топлива регулируется поворотом плунжера регулирующей рейкой 29. Для
этого нижняя часть плунжера имеет прямоугольный выступ, который ходит по
вертикальному пазу поворотной втулки 45, обеспечивая поворот плунжера вместе с
ней. Поворотная втулка центрируется на нижней части плунжерной втулки. На
верхнюю часть поворотной втулки насаживается разрезной зубчатый венец 42,
который закрепляется стяжным винтом 41. Зубчатые венцы находятся в зацеплении с
регулирующей рейкой 29, перемещение которой и приводит к повороту плунжера.
Регулировка насоса на равномерную подачу производится
поворотом втулки 45 на тот или иной угол относительно зубчатых венцов. Для
облегчения регулирования на поворотной втулке имеются радиальные отверстия.
Для разобщения надплунжерного пространства с
трубопроводами высокого давления служит нагнетательный клапан, который состоит
из седла 32, клапана 33, ограничителя хода клапана 36 и пружины 34.
Моментоскоп (Рис.2) состоит
из стеклянной или пластиковой трубки 5 с внутренним диаметром 1—2 мм,
соединенной резиновой трубкой 4 с отрезком топливопровода 3 высокого давления.
Накидная гайка 1 с прокладкой 2 служит для присоединения моментоскопа к штуцеру
топливного насоса высокого давления.
Введение. Техническое
состояние и правильность регулировки ТНВД имеет решающее значение в
экономичной, и надежной работе двигателя, повышает его экологичность.
Своевременная подача топлива в цилиндр способствует его наиболее полному
сгоранию, эффективному использованию энергии сгоревшего топлива и увеличению
срока службы двигателя. Подача топлива с заданным давление обеспечивает
качественное распыливание, перемешивание и сгорание топлива. Подача топлива в
требуемом количестве непременное условие развития двигателем необходимой
мощности.

работы:
1.
Проверка герметичности насоса.
2.
Проверка и установка положения «0» подачи насоса
3.
Проверка и регулировка угла опережения подачи топлива φоп.
4.
Проверка и регулировка цикловой подачи gц.
Существует множество способов проверки
регулировки топливных насосов клапанного типа. Решающими факторами в выборе
того или иного метода являются рекомендации завода изготовителя, условии
проведения работы (на двигателе или в мастерской) опытность и подготовленность
персонала, наличие необходимых приспособлений и вид топлива, на котором
работает двигатель.
1.Проверка
ТНВД на герметичность (плотность).
Проверку
делают различными способами, наиболее простой и распространенный следующий:
Рис. 3. Приспособление для проверки на герметичность
— провернуть
двигатель ВПУ на передний ход, установить ролик толкателя насоса на
цилиндрическую часть кулачной шайбы.
— топливную
рукоятку двигателя устанавливают на полную подачу топлива
— отсоединить
нагнетательный трубопровод от штуцера насоса и удалить нагнетательный клапан
— топливо
подаем к насосу и прокачать его вручную до полного удаления воздуха из
нагнетательного трубопровода
— на
нагнетательный штуцер установить манометр
— ручным
рычагом создать в насосе давление 20 МПа
— плотность
считается нормальной, если ТНВД сохраняет указанное давление в течение 15-20 с
новыми плунжерными парами и 5-7 с находящимися в эксплуатации
2.Проверка
«0» подачи насоса.

пары, при котором отсутствует подача топлива от ТНВД к форсунке. Цель проверки
и регулирования топливного насоса на нулевую подачу — получить одновременное
выключение всех насосов при остановке дизеля.
Первый способ.
Если двигатель работает исключительно на дизельном топливе, то
можно использовать следующий метод:
— установить
рукоятку пуска дизеля в положение «стоп»,
— повернуть
коленчатый вал и, устанавливая поочерёдно топливные кулачки рабочей частью
вниз, отсоединить нагнетательный трубопровод от топливного насоса.
— ТНВД
прокачивать топливом, используя рычаг ручной прокачки. При правильной
регулировке нулевой подачи топливо не должно вытекать из насоса.
Второй
способ.
Если двигатель работает на тяжелом
топливе, то в целях достоверной проверки необходимо запускать циркуляционные
насосы. В этом случае для проверки нулевой подачи насоса, установленного на
двигателе, можно использовать приспособление для проверки плотности (Рис.3),
заменив установленный манометр на другой с пределом измерения немного
превышающим давление топлива в системе.
Рис.4. Определение угла опережения подачи топлива
—
установить топливный вал управления подачей топлива в положение
нулевой подачи или 3 деления, не доходя до него для гарантии.
—
вращать двигатель ВПУ или прокачивать ТНВД рычагом давление.
—
давление на манометре должно оставаться без изменений
3.Определение угла опережения подачи топлива
ϕоп.
Определить угол начала подачи топлива
можно с помощью приспособления, изображенного на Рис.3, установив для большей
точности манометр с пределом измерения немного превышающим давление в топливной
системе.
—
установить топливный вал управления подачей топлива в положение
максимальной подачи.
—
вращать двигатель ВПУ до момента страгивания стрелки манометра.
—
по маховику определить угол начала подачи топлива.
Для проверки топливных насосов двигателей работающих исключительно
на дизельном топливе вместо манометра можно использовать моментоскоп.
Страгивание уровня топлива в прозрачной трубке будет соответствовать моменту
начала подачи топлива.
Изменение угла опережения подачи.
Кулачковый вал насоса блочного типа изготавливается заодно кулачными шайбами,
поэтому изменить угол опережения подачи топлива можно только у всех плунжеров
сразу. Обычно это делается по первому цилиндру изменением взаимного
расположения полумуфт привода. В небольших пределах это можно сделать, изменяя
длину толкателя соответствующего цилиндра. Для этого нужно ослабить контргайку
52 и ввернуть или вывернуть регулировочный болт
толкателя 50. Если вывернуть болт толкателя 50, то длина толкателя увеличится и
подача топлива начнётся раньше. Угол опережения подачи топлива увеличится и
наоборот. По окончании регулировка зажать контргайку 52
Увеличение угла опережения подачи топлива
ведёт к увеличению максимального давления цикла (pz)
и снижению выхлопных газов (tг),
что ведёт к повышению механической и снижению тепловоё напряженности двигателя.
И наоборот.
4. Проверка
и регулировка цикловой подачи gц.
Изменение подачи одновременно по всем
насосам двигателя осуществляется одновременным разворотом плунжеров. Для
изменения подачи отдельного цилиндра нужно ослабить винт 41 и развернуть поворотную втулку 45 вместе с плунжером 22 относительно
зубчатого венца в требуемом направлении. Чтобы увеличить подачу топлива данного
насоса, повернуть поворотную втулку по часовой стрелке и наоборот. Цель
регулирования – достижения равномерности подачи топлива по цилиндрам.
Допускается максимальное отклонение от среднего по цилиндрам 2,5%. Регулировка
цикловой подачи топлива, как правило, производится по результатам индицирования
двигателя.
5. Ответить
на контрольные вопросы
Контрольные
вопросы
1. Какой
инструмент, и какие приборы применяются при проверке плотности ТНВД?
2. Какой
инструмент, и какие устройства применяются при определении
угла опережения подачи топлива?
3. При
каком положении органов управления подачей топлива производится определение
угла опережения подачи топлива?
4. При
каком положении органов управления подачей топлива устанавливается нулевая
подача. ТНВД?
5. Чем
регулируют φнпн?
6. Запись в отчете:
1. Дать обоснование
необходимости выполнения этой работы;
2. Описать порядок выполнения
работы.
Использованная литература
1.
Возницкий И. В. Топливная аппаратура судовых дизелей. /
И.В.Возницкий, – М.:МОРКНИГА, 2007.-128 с
2. 1.Возницкий И. В.
Судовые двигатели внутреннего сгорания. Том 1. / И.В.Возницкий, А.С.Пунда –
М.:МОРКНИГА, 2010.- 260 с.
3.
3.Возницкий И. В. Судовые двигатели внутреннего сгорания.
Том 1. / И.В.Возницкий, – М.:МОРКНИГА, 2008.- 282 с.
4.
3.Возницкий И. В. Судовые дизели и их эксплуатация /
И.В.Возницкий, Е.Г.Михеев – М.:Транспорт, 1990. — 360 с
5.
Королёв Н.И. Регулирование судовых дизелей (Б-ка судомеханика) —
4-е изд., перераб. И доп. – М.:Транспорт 1983, 144 с. стр.50-63
Категория: Системы впрыска топлива непосредственного действия с механическим приводом.
Рассмотренный выше принцип одновременного регулирования цикловой порции и угла начала подачи топлива имеет один существенный недостаток — регулирование осуществляется по жесткому алгоритму, который в процессе работы не может быть изменен. Необходимость в более гибком регулировании может возникнуть при существенных отклонениях режимов работы от номинальных, при переходе на другие сорта топлива и их смеси, а также в ряде других случаев. С целью более гибкого регулирования процесса топливоподачи фирма Burmeister & Wain разработала схему золотникового насоса с изменяемым углом опережения впрыска топлива (система Variable injection timing, далее — VIT). Впоследствии эту систему унаследовала фирма MAN, которая по сей день использует ее в своих разработках.
Общий вид топливного насоса с системой VIT, его конструкция и основные элементы приведены на рисунке 1.22а–в.

В насосах подобного типа изменение угла опережения осуществляется путем осевого перемещения втулки плунжера относительно самого плунжера. При этом изменяется положение отсечных отверстий относительно верхней кромки плунжера и, следовательно, момент их перекрытия относительно угла поворота коленчатого вала двигателя.
Для использования тяжелых топлив на всех режимах работы двигателя насосы и форсунки спроектированы таким образом, что во время стоянки и в периоды между впрысками подогретое топливо циркулирует в системе, обеспечивая ее обогрев.
Корпус топливного насоса имеет квадратное основание, которым он крепится к корпусу толкателя. Для сбора протечек на основании насоса выполнена специальная канавка, откуда протечки топлива стекают в специальную дренажную трубу.
Топливо к ТНВД подается по трубопроводу через фланцевые соединения на передней стенке корпуса от циркуляционного насоса с электроприводом. Давление топлива в контуре низкого давления поддерживается постоянным с помощью байпастного клапана, расположенного между главной топливной магистралью и трубопроводом возврата топлива (рис. 1.23).

Байпасный клапан поршневого типа с пружинным нагружением поршня. Начальная затяжка пружины клапана определяет давление в топливоподающей магистрали.
Сверху на крышке насоса установлен перепускной клапан, отделяющий нагнетательную полость насоса от сливной магистрали (рис. 1.24). При работе двигателя клапан находится в закрытом состоянии, разграничивая полости. В верхней части корпуса клапана установлен поршневой пневмопривод, с помощью которого через шток клапан удерживается в открытом состоянии. Клапан служит для быстрой (аварийной) остановки двигателя, а также при прокачке системы.
На нижней стороне верхней крышки установлен всасывающий клапан (рис. 1.25), выступающий корпус которого служит в качестве направляющей для втулки плунжера. Во время хода всасывания клапан под действием давления в полости насоса преодолевает усилие удерживающей пружины и открывается, в результате чего надплунжерное пространство заполняется топливом.
Плунжер и втулка точно подогнаны друг к другу и образуют прецизионную пару, которая не должна раскомплектовываться при проведении ремонтных работ. На теле плунжера нарезаны симметрично наклонные отсечные кромки с регулированием по концу подачи. Симметричное расположение кромок позволяет уравновесить боковые силы, возникающие в результате
действия давлений в полости под кромками. В нижней части плунжер имеет направляющий бурт квадратного сечения, который скользит в прорези поворотной регулировочной втулки.
На нижнем торце плунжера имеется основание, которым он опирается на пяту толкателя и фиксируется относительно ее с помощью кольцевой выемки. Небольшой зазор между основанием плунжера и толкателем обеспечивает свободное поворачивание плунжера.
Втулка плунжера направляется в верхней и нижней частях корпуса насоса. Для уплотнения между втулкой и корпусом на наружной поверхности втулки имеются три канавки, в которых установлены уплотнительные кольца с малым коэффициентом трения. В нижнем уплотнительном пояске втулки, между двумя уплотнительными кольцами, имеется дренажное отверстие. Проворачивание втулки предотвращается направляющим винтом, установленным на передней стороне корпуса ТНВД.

Для сброса топлива в конце нагнетательного хода плунжера во втулке имеется два симметричных отсечных канала, выполненных в виде расходящихся патрубков. Такая форма позволяет уменьшить сопротивление потоку жидкости в канале, понизить скорость истечения топлива, уменьшив тем самым кавитационное воздействие потока на стенки канала. Напротив отсечных отверстий втулки установлены две заглушки. Струи топлива в конце хода нагнетания под высоким давлением ударяются в заглушки, вызывая их интенсивную эрозию. При значительном износе заглушек они могут быть заменены на новые.
Для осевого перемещения втулки на ее нижнем конце нарезана резьба, которая входит во внутреннюю резьбу поворотной втулки регулировки опережения подачи (рис. 1.22г).
Поворотная втулка опережения имеет зубчатое кольцо, с которым входит в зацепление верхняя зубчатая рейка в основании корпуса ТНВД. Зубчатая рейка соединена с пневматическим цилиндром, положение которого определяется регулятором двигателя. Проворачивание поворотной втулки приводит к подъему или опусканию втулки плунжера с изменением положения отсечных каналов относительно верхней кромки плунжера. Таким образом, перемещение верхней рейки приводит к изменению угла опережения подачи.

Цикловая подача изменяется путем поворота плунжера с помощью нижнего зубчатого сектора и рейки.
Для сглаживания пульсаций топлива, возникающих во время открытия отсечных отверстий, к фланцу на задней стенке корпуса насоса крепится демпфер (компенсатор), представляющий собой пружинный аккумулятор давления поршневого типа (рис. 1.26).
Привод насоса осуществляется от распределительного вала через роликовый толкатель, установленный в отдельном корпусе. Корпус толкателя закреплен на корпусе распределительного вала четырьмя шпильками, резьба на двух из которых имеет длину, позволяющую обеспечить постепенное ослабление пружины толкателя при его демонтаже.
Проворачивание цилиндрической направляющей толкателя предотвращается посредством стопорного штифта, установленного во втулке корпуса.
Толкатель каждого топливного насоса включает в себя реверсивное звено с угловым перемещением. Каждый цилиндр реверсируется отдельно. Реверсивный механизм приводится в действие сжатым воздухом.
Реверсирование производится перемещением ролика приводного механизма ТНВД каждого цилиндра. Звено, соединяющее толкатель и ролик, имеет реверсивный рычаг, на верхнем конце которого установлен палец (рис. 1.27), который передвигается в направляющей, присоединенной к управляющему пневматическому цилиндру.

Реверсивное звено является самостопорящимся как в положении «Вперед», так и «Назад» без помощи внешних сил. При перекладке реверсивного звена из одного положения в другое изменяется угол подачи топлива по отношению к ВМТ соответствующего рабочего цилиндра, обеспечивая оптимальный угол опережения подачи как для переднего, так и для заднего хода двигателя.
Для привода роликового толкателя используется специальный кулачок, обеспечивающий оптимальный закон подачи топлива независимо от направления вращения двигателя. Профиль приводного кулачка показан на рисунке 1.28.
Движение толкателя вниз и прижатие его ролика к кулачку обеспечивается с помощью двух спиральных пружин, закрепленных между толкателем и основанием насоса.
Верх кольцевой выточки толкателя расположен внутри основания насоса и оборудован колпачком. Этот колпачок вместе с уплотнительной втулкой, которая запрессована в горячем состоянии в основание насоса, образуют лабиринт, предотвращающий попадание топлива в систему смазки распределительного вала (рис. 1.22б).
Каждый корпус толкателя имеет подъемное и фиксирующее устройство эксцентрикового типа, с помощью которого можно поднять и зафиксировать толкатель над топливным кулачком. Подъемное устройство установлено на боковой стороне корпуса толкателя (рис. 1.29).
Для поднятия толкателя отпускается контргайка на валу эксцентрика, а выступ эксцентрика путем осевого перемещения вводится под рычаг реверса. Далее поворотом эксцентрика поднимают толкатель и с помощью стопорного винта фиксируют его положение.
Иначе задача регулирования моментов начала и конца подачи решена в ТНВД двигателей 64-й серии фирмы Wärtsilä. В этих двигателях одноплунжерные насосы заменены двухплунжерными, у которых один плунжер управляет моментом начала подачи топлива, а второй — концом. При этом оба плунжера обеспечивают необходимую величину цикловой порции топлива,
так как имеют параллельный привод от кулачкового вала. Схема насоса данного типа показана на рисунке 1.30.
Независимое управление механизмами проворачивания плунжеров позволяет устанавливать угол опережения подачи независимо от ее величины, оптимизировать закон подачи в зависимости от режима работы двигателя путем перераспределения величин активных ходов плунжеров.


Использование двух плунжеров вместо одного позволяет уменьшить их диаметр, снизить механические нагрузки в механизме привода, увеличить жесткость плунжера и втулки, что, в свою очередь, позволяет уменьшить зазоры в плунжерных парах и, следовательно, сократить утечки через них.
Операции проверки сводятся к оценке плотности насосов (степени износа плунжерной пары), момента начала и нулевой подачи.
СодержаниеСвернуть
- Регулирование ТНВД двигателей Вяртсиля
- Подготовительные операции
- Проверка ТНВД на плотность
- Проверка момента начала подачи
- Для проверки необходимо
Активный ход плунжера не проверяется, так как в насосах золотникового типаТопливные насосы золотникового типа он конструктивно задан расстоянием между впускной и отсечной кромками плунжера.
Регулирование ТНВД двигателей Вяртсиля
Каждый насос может быть индивидуально проверен вне двигателя с использованием специального стенда, либо непосредственно на двигателе. При проверке на двигателе рекомендуется для промывки 5 минут поработать на дизельном топливе.
Подготовительные операции
- Провернуть двигатель в направлении вращения до прихода топливного кулачка своей цилиндрической частью под ролик насоса.
- Снять верхнюю часть корпуса насоса и удалить нагнетательный и разгрузочный клапаны, а также вывернуть противоэрозионную пробку на стороне поступления топлива в насос.
- Установить фланец А (см. рис. 1) и закрепить его болтами, предварительно убедившись, что отверстия нагнетательного и разгрузочного клапанов находятся под ним в пределах уплотнительного резинового кольца.
- Установить цифровой индикатор на адаптер Е.
- Подсоединить шланг подвода воздуха к фланцу А.
Проверка ТНВД на плотность
- Установить и закрепить топливную рейку в положении полной подачи. Отрегулировать давление подводимого к насосу воздуха на 0,4 МПа.
- Проворачивать вал двигателя до момента, когда давление воздуха начнет изменяться. Переставить индикатор на ноль.
- Продолжать вращение двигателя до момента, когда индикатор покажет 1 мм.
В этом положении показания манометра будут определять величину протечек через зазор между управляющими кромками плунжера и втулкой.
Степень износа определяется величиной установившегося давления, регистрируемого манометром:
- 0,25-0,3 МПа — хорошее состояние;
- 0,25-0,15 МПа — допустимое;
- 0,15 МПа — неудовлетворительное, требуется замена.
Проверка момента начала подачи
Начало подачи насосом устанавливается заводом. Проверка начала подачи необходима только в случаях замены ТНВД, плунжерной пары или секции распределительного вала.
Для проверки необходимо
- Переместить рейку ТНВД в положение полной подачи и установить с помощью редукционного клапана давление на манометре 0,2 МПа.
- Повернуть вал двигателя в направлении, противоположном его вращению до момента подхода под ролик базовой цилиндрической окружности. Затем вращайте вал в направлении вращения до момента установления давления в 0,1 МПа. Это будет соответствовать моменту начала подачи — плунжер перекрывает впускное отверстие.
- Определите по градуировке на маховике расстояние от этой точки до ВМТ соответствующего цилиндра. Полученная величина будет представлять угол опережения подачи по насосу.
Если отклонение от заводской величины составляет 0,5°, необходимо проверить остальные насосы. Если отклонения на них достигают 0,5°, нужно проверить и отрегулировать положение шестерен привода распределительного вала.
Смотрите также: Регулирование ТНВД SKL — NVD 48 и 36
Второй способ проверки заключается в использовании вместо сжатого воздуха топлива. Для этого применяется воронка, устанавливаемая с помощью фитинга на приемное отверстие насоса (см. рис. 2). Вал двигателя устанавливается в положение 22° до ВМТ, воронка заполняется и пополняется топливом по мере его вытекания из штуцера, к которому обычно подсоединяется топливопровод форсунки. Вал двигателя продолжают проворачивать, пока топливо не перестанет вытекать.
Этот момент будет соответствовать положению плунжера в начале подачи. По градуировке на маховике определяется угол опережения подачи. Эти операции повторяются по всем цилиндрам. Различие в моментах подачи по цилиндрам не должно выходить за пределы 1 градуса.
Третий, наиболее простой способ проверки, рекомендуемый фирмой ВяртсиляНасосы двигателей Вяртсиля для ТНВД двигателей L20, заключается в следующем:
- Перекрыть подачу топлива к двигателю и отвернуть на проверяемом насосе противоэрозионные пробки (2 шт.);
- Поворачивая вал двигателя в сторону вращения, установить его в положение 22° до ВМТ (на ходе сжатия);
- Продолжая вращение, установить визуально момент перекрытия плунжером впускного и отсечного отверстий (рис. 3), что соответствует началу активного хода плунжера;
- По маховику определить соответствующий этому положению угол опережения, сравнить его с рекомендованными значениями. Отклонение не должно превышать 0,5°, разница в отклонениях между углами отдельных цилиндров должна укладываться в 1,0°.
При превышении отмеченных величин необходима регулировка длины толкателей плунжеров, которая осуществляется в следующей последовательности:
- Снять насос с основания и закрепить основание гайками;
- Измерить расстояние X (рис. 4) и, используя график рис. 5 сопоставить его с установочной величиной;
- Отвернуть стопорящий винт 1 и, вращая толкатель 2, изменить X до требуемой величины.
Сноски
Топливный насос высокого давления (ТНВД) предназначен для подачи определённой дозы топлива через форсунку в цилиндр дизеля.
В процессе работы плунжерные пары, клапаны, пружины и привод ТНВД подвергаются нормальному физическому изнашиванию. В результате нарушается равномерная подача топлива по цилиндрам, снижается производительность насоса и давление подаваемого топлива, изменяется первоначально установленный угол опережения.
При осмотре ТНВД проверить и отрегулировать его в следующей последовательности:
— герметичность (плотность);
— проверка величины зазора между роликом привода ТНВД и рабочей частью кулачка;
— проверка нулевой подачи топлива ТНВД;
— момент начала и конца подачи топлива;
— равномерность подачи топлива по цилиндрам.
К основным дефектам ТНВД относят: заклинивание, риски, прихватывание и зависание, изнашивание плунжерной пары, натиры на плунжере, коррозию рабочих поверхностей плунжерных пар, появление раковин на поверхностях плунжера около отсечных кромок, трещины в корпусе насоса, неплотность клапанов.
Проверку и регулировку топливного насоса проводят как на остановленном, так и на работающем дизеле. Регулировку его осуществляют в зависимости от типа насоса по началу (НП) или концу (КП) подачи топлива. Основные параметры ТНВД дизелей приведены в таблице:
Основные параметры дизелей и ТНВД
Проверку герметичности (плотности) ТНВД проводят опрессов-кой его топливом при снятых форсуночных трубках.
Насос прокачивают вручную до полного удаления из него воздуха. Затем на него устанавливают манометр и создают в насосе рабочее давление топлива 20-40 МПа, которое поддерживают постоянным нажатием на рычаг ручной подачи топлива. Если ТНВД сохраняет указанное давление в течение 15-20 с новыми плунжерными парами и 5-7 с находящимися в эксплуатации, то герметичность считается удовлетворительной. При неудовлетворительной герметичности насоса в целом проверяют плотность сопрягаемых поверхностей плунжерных пар, нагнетательных клапанов и их гнёзд, посадки втулки в корпус насоса.
Проверив герметичность насоса, определяют пластинами щупа величину зазора между роликом привода ТНВД и рабочей частью кулачка.
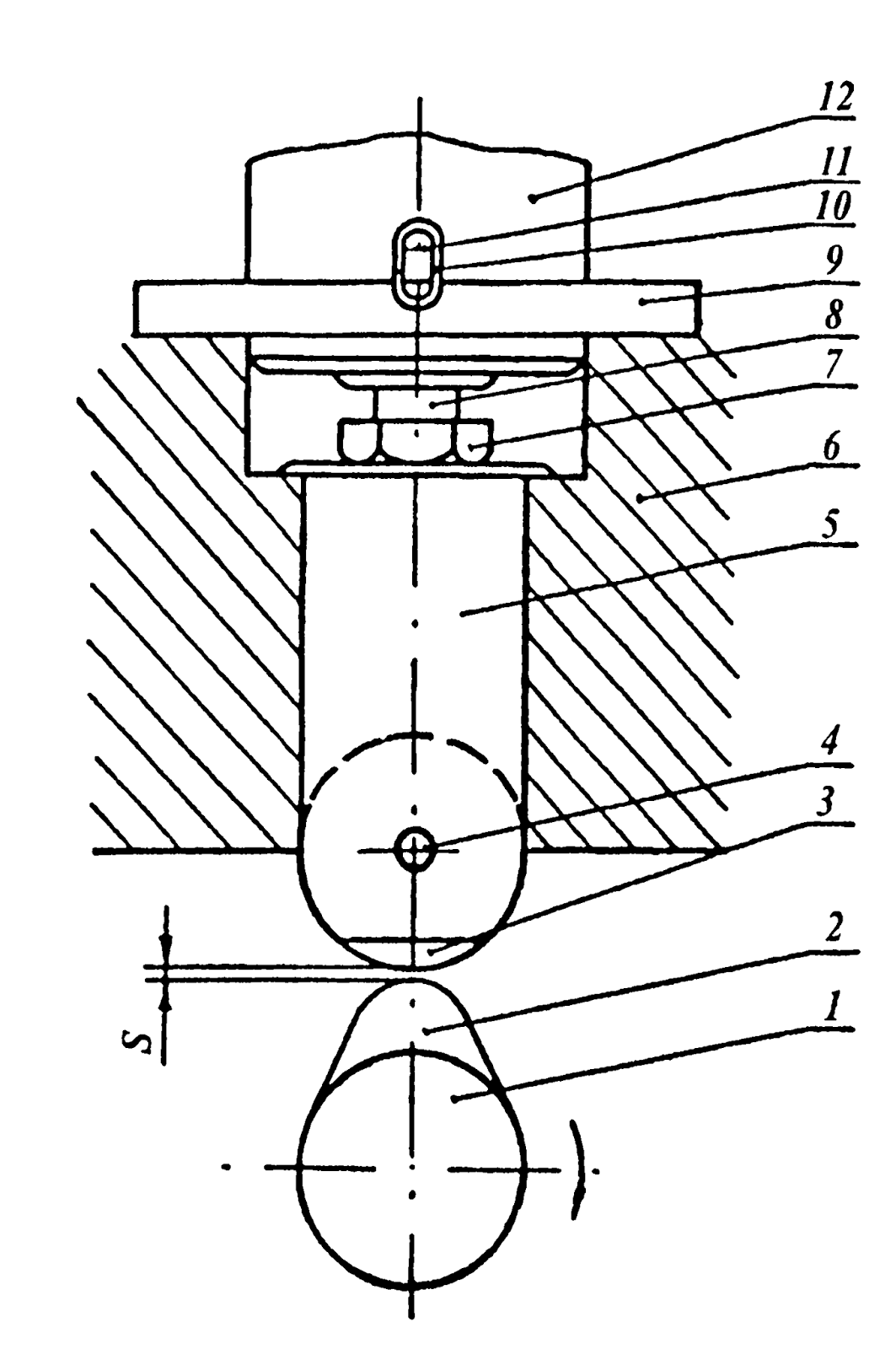
Рис. 6.37. Проверка зазора (S) между роликом и рабочей частью кулачка пластиной щупа:
1 — распределительный вал;2 — кулачок; 3 — ролик; 4 — ось ролика толкателя; 5 — толкатель плунжера; 6 — корпус дизеля; 7 — контргайка регулировочного болта; 8 — регулировочный болт; 9 — фланец корпуса топливного насоса; 10 — контрольная риска на корпусе насоса, соответствующая началу подачи топлива; 11 — контрольная риска на направляющей гильзе плунжера; 12 — корпус топливного насоса.
Для этого коленчатый вал вращают до момента, когда рабочая часть кулачка (топливной шайбы) будет направлена вверх, рычагом поднимают толкатель плунжера до упора и измеряют зазор. Величина зазора, согласно инструкции по эксплуатации дизеля, обычно равна 0,15-0,5 мм. Зазор регулируют при помощи регулировочного винта, заворачивая или выворачивая его из толкателя. После установки зазора регулировочный винт обязательно стопорят контргайкой и снова проверяют зазор, величина которого может измениться от затягивания контргайки.
Отсутствие зазора приводит к повреждению профиля рабочей части кулачка, ролика и ТНВД.
После проверки и установки зазоров между роликом толкателя ТНВД и кулачком проверяют нулевую подачу топлива ТНВД.
Нулевой подачей топлива ТНВД называют такое положение плунжерной пары, при котором насос не должен подавать топливо в форсунку.
Цель проверки и регулирования топливного насоса на нулевую подачу — получить одновременное выключение всех насосов при остановке дизеля. Для этого рукоятку пуска дизеля устанавливают в положение «стоп», поворачивают коленчатый вал и, устанавливая поочерёдно топливные кулачки рабочей частью вниз, отсоединяют нагнетательный трубопровод оттопливного насоса. ТНВД прокачивают топливом, используя рычаг ручной прокачки. При правильной регулировке нулевой подачи топливо не должно вытекать из насоса.
Регулировка нулевой подачи топлива зависит от конструкции насоса. Например, у дизелей с топливными насосами золотникового типа, у которых регулирование по концу подачи топлива, установка нулевого положения производится разворотом плунжера путём перемещения сухарика насоса на топливной рейке в корму или в нос. При таком повороте плунжера перепускной клапан в нулевом положении совпадает с впускным отверстием втулки плунжера, и происходит перепуск топлива в приёмный трубопровод.
Проверку момента начала и конца подачи топлива (угла опережения) у ТНВД с золотниковым распределением и в других топливных насосах с регулировкой конца подачи выполняют при помощи стеклянной капиллярной трубки диаметром 1,0-1,5 мм, установленной при помощи накидной гайки на насос.
Топливную рейку устанавливают на полную подачу топлива. Затем, вращая коленчатый вал, фиксируют момент страгивания мениска топлива в трубке, что соответствует началу подачи топлива в цилиндр. От этого момента до положения поршня в ВМТ данного цилиндра по маховику определяют дугу в градусах. Таким образом,определяют за сколько градусов до ВМТ происходит подача топлива в цилиндр, или угол опережения подачи топлива.
Угол опережения подачи топлива регулируют поворотом топливного кулачка на распределительном валу. Подрегулировку производят путём изменения длины регулировочного винта ТНВД золотникового типа.
Регулировку ТНВД на равномерность подачи топлива по цилиндрам выполняют после того, как будет проверена герметичность насоса и отрегулированы моменты начала (конца) подачи.
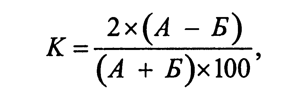
Проверку равномерности подачи топлива по цилиндрам выполняют в следующем порядке. Форсунки устанавливают распылителями вниз и к ним подставляют мерные стаканы вместимостью 100-200 см3 (пустые стаканы взвешивают). Затем производят 10-15 полных подач топлива насосом при помощи рычага ручной прокачки и определяют массу подачи топлива насосом за один ход. Процент неравномерности подачи топлива определяют по формуле:
где А и Б — наибольшее и наименьшее количество топлива, поданное одним из насосов. Неравномерность подачи топлива не должна превышать 6%.
Разная мощность
дизеля может быть получена путем
изменения частоты вращения и цикловой
подачи топлива, поэтому цикловая подача
должна дозироваться в зависимости от
заданного режима работы дизеля. В
системах непосредственного действия
с ТНВД золотникового и клапанного
типов, применяемых в судовых дизелях,
дозирование цикловой подачи
осуществляется, как правило, перепуском
части топлива во время нагнетательного
хода плунжера, т.е. изменением его
активного хода. В аккумуляторных системах
(рис. 5) величина цикловой подачи топлива
зависит от времени открытия дозирующего
устройства.
Изменение активного
хода плунжера, т.е. регулирование ТНВД,
в золотниковых и клапанных насосах
возможно лишь при изменении фаз
топливоподачи, при этом изменяют или
начало, или конец подачи, или одновременно
и начало и конец подачи. Вначале рассмотрим
регулирование золотниковых топливных
насосов. На схемах плунжерных пар,
приведенных на рис. 8, роль отсечного
отверстия выполняет наполнительное
отверстие с. Такая конструктивная схема
плунжерной пары получила широкое
распространение, хотя в дизелях
применяются и насосы с раздельной
отсечкой, когда отсечка происходит
через специальные отсечные отверстия
(или одно отверстие). Принцип регулирования
ТНВД в обоих случаях один и тот же.
Схема а соответствует
регулированию насоса по началу подачи.
При развороте плунжера изменяется
момент перекрытия нагнетательной
кромкой а отверстия с. Конец подачи
наступает после открытия этого отверстия
отсечной кромкой b. Конец подачи в
рассматриваемом случае постоянен, так
как положение отсечной кромки относительно
отверстия с не зависит от разворота
плунжера. При перемещении рейки ТНВД
происходит поворот плунжера, в
результате чего изменяется начало
нагнетания, а поэтому и геометрический
активный ход плунжера.
На схеме б показан
принцип регулирования ТНВД по концу
подачи, так как положение нагнетательной
кромки а по отношению к отверстию с не
зависит от разворота плунжера, а положение
отсечной кромки b — зависит.
Схема в иллюстрирует
принцип смешанного регулирования ТНВД,
причем в рассматриваемом случае с
поворотом плунжера одновременно меняются
и начало и конец подачи.
В последние годы
в дизелях начали применять новый
(четвертый) способ регулирования —
комбинированный, в котором объединены
способы регулиро вания по концу подачи
и смешанный (схема г). Как видно из
рисунка, при больших цикловых подачах
(участок 1 — 2) регулируется только
конец подачи, а при малых цикловых
подачах (участок 2-3) — и начало и конец.

Рис. 8. Способы
регулирования золотниковых ТНВД: 1
— плунжер; 2 — втулка плунжера; 3 — корпус
нагнетательного клапана
Регулирование
клапанных насосов рассмотрим на примере
смешанного регулирования (см. рис.
4). Геометрическое начало нагнетания
топлива соответствует моменту, когда
толкатель 10 всасывающего клапана 8
опустится на высоту ,
а геометрический конец подачи наступит
тогда, когда толкатель 15 поднимется на
высоту 1
и начнет открывать отсечный клапан 6
(зазоры
и 1
соответствуют нижнему положению
плунжера). Следовательно, для изменения
фаз топливоподачи, т.е. активного хода
плунжера, необходимо изменить зазоры
и 1,
что обеспечивается поворотом
эксцентрикового вала 13.
Подрегулировка
всех насосов, т.е. установка одинаковых
зазоров
и 1
по отдельным цилиндрам, выполняется
изменением длины толкателей клапанов
с помощью регулировочных болтов 11 и 14.
Исходные значения
фаз топливоподачи устанавливают на
номинальном режиме, и они не зависят
от способа регулирования ТНВД. При
выборе способа регулирования фаз
топливоподачи прежде всего следует
учесть, на режимах какой характеристики
дизель будет эксплуатироваться. При
этом необходимо обеспечить наибольшую
экономичность дизеля на всех режимах
работы без механической перегрузки его
деталей из-за высокого максимального
давления сгорания и повышенной
скорости нарастания давления газов в
рабочем цилиндре. Изменение же
температуры отработавших газов, косвенно
определяющей теплонапряженность деталей
ЦПГ, при выборе способа регулирования
ТНВД обычно не учитывается, так как в
дизелях с наддувом при уменьшении
цикловой подачи топлива эта температура,
как правило, снижается.
Вначале рассмотрим
влияние способа регулирования ТНВД на
показатели механической напряженности.
Анализ проведем для двух способов
регулирования: по началу и по концу, так
как смешанное и комбинированное
регулирования занимают промежуточные
положения.
На рис. 9 приведены
кривые относительного изменения
максимального давления сгорания рZ
и средней скорости нарастания р/
в функции изменения частоты вращения
n для пяти дизелей, работающих по
винтовой характеристике. Индекс «н»
на рисунке относится к параметрам на
номинальном режиме.
Из рисунка видно,
что с уменьшением частоты вращения
коленчатого вала максимальное
давление сгорания падает при любом
способе регулирования, что объясняется
существенным снижением давления
наддувочного воздуха, оказывающего
наибольшее влияние на снижение
давления рZ.
В связи с этим изменение давления рZ
не влияет на выбор способа регулирования
ТНВД.
Однако изменение
скорости нарастания давления р/
с уменьшением частоты n, как показало
осциллографирование рабочего процесса
этих дизелей, зависит от способа
регулирования: скорость р/
(как и dр/d,
кривые которых не приведены) снижается
при регулировании по началу подачи
и повышается при регулировании по концу
подачи. Поэтому, если на режимах малых
нагрузок эта скорость достигнет значений
выше допустимых (0,2 — 0,4 МПа на 1° ПКВ),
следует вводить смешанное регулирование.
В рассматриваемом случае величина р/
для всех дизелей с регулированием по
концу подачи не превышает указанного
предела. Для этих дизелей и максимальная
скорость dр/d
была ниже 0,4 МПа на 1° ПКВ [4]. По этой
причине в исследуемых дизелях
ограничились регулированием ТНВД только
по концу подачи.
Анализ кривых
изменения удельного индикаторного
расхода топлива gi
[4] позволяет сделать вывод о преимуществе
регулирования по концу подачи. Так, на
режиме 25 % нагрузки дизеля (n/nН
= 0,63) при регулировании по концу подачи
удельный расход топлива ниже на 6 % по
сравнению со случаем регулирования по
началу подачи при прочих равных
условиях.
(р/)/(р/)Н
рZ
/рZН

Рис. 9. Изменение
показателей дизелей при работе по
винтовой характеристике: 1,2,3,4,5 —
максимального давления сгорания и
скорости нарастания давления газов
соответственно дизелей «Фиат»
909S,
МАН K6Z57/80C,
«Бурмейстер и Вайн» 684VТ 2ВF
180,»Зульцер» 6RD76
и «Зульцер» 9RD90;
6 — удельного
индикаторного расхода топлива;
— — — -регулирование
по началу подачи;
———— -регулирование
по концу подачи
Причина такого
изменения расхода gi
заключается в следующем. Со снижением
частоты вращения судового двухтактного
дизеля, как правило, возрастает коэффициент
избытка воздуха при сгорании ,
что способствует лучшему сгоранию
топлива и повышению индикаторного КПД
независимо от способа регулирования
ТНВД. Но способ регулирования ТНВД
влияет на долю цикловой подачи топлива,
сгорающую в районе ВМТ. При регулировании
по концу подачи окончание процесса
впрыскивания со снижением n смещается
к ВМТ, а поэтому бльшая
доля топлива сгорает в районе ВМТ, что
способствует повышению термического
и индикаторного КПД. При регулировании
по началу подачи со снижением n начало
сгорания переносится в точку на линии
расширения, все более удаляющуюся
от ВМТ, что приводит к снижению
термического и индикаторного КПД.
Следовательно,
при регулировании ТНВД по началу подачи
со снижением n увеличение коэффициента
избытка воздуха при сгорании способствует
повышению индикаторного КПД, а перенос
начала впрыскивания — уменьшению этого
КПД, в результате суммарное влияние
рассмотренных факторов на индикаторный
расход топлива несущественно. При
регулировании по концу подачи со
снижением n
индикаторный КПД повышается как по
причине возрастания коэффициента ,
так и по
причине сгорания большего количества
топлива в районе ВМТ.
Таким образом, в
дизелях, работающих по винтовой
характеристике, бесспорное преимущество
имеет способ регулирования ТНВД по
концу подачи. Но если на режимах малых
нагрузок будет высокая скорость
нарастания давления газов, то следует
использовать смешанное или комбинированное
регулирование. В последнем случае (как,
например, в дизелях типов РС2, ZV40/48
и др.) начало регулируется лишь на режимах
малых нагрузок, а поэтому повышенная
экономичность дизеля обеспечивается
на большинстве эксплуатационных режимов.
Как видно из рис.
9, при любом способе регулирования ТНВД
максимальное давление сгорания рZ
на всех режимах ниже, чем давление
рZН
на номинальном режиме. В связи с этим
без увеличения механической нагрузки
на детали дизеля на частичных его
нагрузках давление рZ
можно повысить до давления рZН,
если скорость нарастания давления газов
не превысит допустимого значения. В
результате этого экономичность
дизеля на этих режимах возрастет.
Давление рZ
можно повысить путем увеличения угла
начала нагнетания ОП
.
В свете изложенного
большой интерес представляет плунжерная
пара (рис. 10,а), в которой изменение угла
ОП
осуществляется за счет специальной
конфигурации нагнетательной кромки
плунжера. Положение 1-1′ соответствует
номинальной цикловой подаче. На участке
1-2 угол ОП
увеличивается, а на участке 2—3 остается
неизменным (до момента 3-3′). В дальнейшем
с целью снижения скорости нарастания
давления газов угол ОП
уменьшается (участок 3-4).
Влияние такого
регулирования угла ОП
на экономичность дизеля наглядно
иллюстрируется графиками изменения
удельного эффективного расхода
топлива gе
при работе дизеля фирмы <МАН — Бурмейстер
и Вайн> типа L-GB
по винтовой характеристике (рис. 10,б).
На рисунке одновременно показано и
изменение максимального давления
сгорания рZ.
Следовательно, в широком интервале
изменения нагрузки дизеля (от 50 до 100 %)
получено заметное снижение расхода
топлива (до 2 %).
При работе дизеля
по нагрузочной характеристике обычно
устанавливают ТНВД с регулированием
по концу подачи, так как в данном случае
частота вращения дизеля постоянная, а
поэтому начало впрыскивания топлива
изменяется сравнительно мало. В дизелях
с наддувом с уменьшением нагрузки
давление рZ,
снижается (из-за падения давления
наддувочного воздуха), обычно мало
изменяется и скорость нарастания
давления газов. Но если эта скорость на
режимах малых нагрузок возрастет
выше допустимого предела, что может
произойти вследствие увеличения
периода задержки самовоспламенения,
вызванного снижением давления и
температуры воздуха в цилиндре в конце
сжатия и ухудшением качества
распыливания топлива, то необходимо
вводить регулирование и начала
подачи.
|
|
|
|
Рис. 10. Регулирование а
б — зависимость — — ТНВД с |
При работе дизеля
по нагрузочной характеристике обычно
устанавливают ТНВД с регулированием
по концу подачи, так как в данном случае
частота вращения дизеля постоянная, а
поэтому начало впрыскивания топлива
изменяется сравнительно мало. В дизелях
с наддувом с уменьшением нагрузки
давление рz
снижается (из-за падения давления
наддувочного воздуха), обычно мало
изменяется и скорость нарастания
давления газов. Но если эта скорость на
режимах малых нагрузок возрастет выше
допустимого предела, что может произойти
вследствие увеличения периода задержки
самовоспламенения, вызванного снижением
давления и температуры воздуха в цилиндре
в конце сжатия и ухудшением качества
распыливания топлива, то необходимо
вводить регулирование и начала подачи.
8. РЕВЕРСИРОВАНИЕ
ТОПЛИВНОЙ АППАРАТУРЫ
Впрыскивание
топлива в цилиндр обычно начинается до
ВМТ, а заканчивается после. Следовательно,
если поршень дизеля находится в ВМТ, то
плунжер ТНВД еще продолжает свой
нагнетательный ход. В связи с этим
кулачковая шайба ТНВД по отношению к
мотылю должна иметь угол заклинки З
со значительным отставанием (рис. 11, а).
Точка а на профиле кулачка соответствует
геометрическому началу нагнетания
с углом опережения а
до ВМТ. Если бы геометрическое начало
подачи по насосу совпало с началом
впрыскивания топлива форсункой, то
топливо начало бы поступать в цилиндр
в точке a1.
Схемы, показанные на рис. 11, относятся
к двухтактным дизелям, а поэтому а=а1.

Рис.11.Схема
реверсирования топливных насосов: 1 —
ось симметрии кулачковой шайбы; 2 —
кулачковая шайба; 3 — ролик толкателя
ТНВД; 4 — окружность мотыля
Так как угол начала
впрыскивания топлива обычно меньше
угла а1,
то точкой а2 условно показан момент
начала впрыскивания топлива в цилиндр.
Точка b на кулачке обозначает
геометрический конец нагнетания,
которому на окружности мотыля соответствует
точка b1
(
b=
b1).
Окончание впрыскивания топлива в цилиндр
условно отмечено точкой b2, причем
обычно
b2>
b1
.
Расположение
кулачковой шайбы при вращении дизеля
в обратную сторону показано на рис.
11, б (все обозначения те же, что и на рис.
11, а). Следовательно, при реверсировании
дизеля рабочий участок а — b на кулачковой
шайбе находится с другой стороны, а
шайба на распределительном валу по
отношению к первому случаю должна быть
повернута на угол, равный 2 З.
Принцип реверсирования
ТНВД четырехтактных дизелей аналогичен
рассмотренному, только отсутствует
равенство углов а=а1
и
b=
b1
, так как различны частоты вращения
коленчатого и распределительного
валов.
Таким образом, при
перемене стороны вращения двигателя
необходимо повернуть распределительный
вал на угол 2 З,
если шайбы имеют симметрический
профиль, или передвинуть его вдоль оси
и подвести новый комплект шайб с другим
углом заклинки и обратным профилем.
Использование
шайб с выпуклым профилем в двухтактных
дизелях с прямоточно-клапанной
продувкой требует установки на дизеле
двух распределительных валов: один
приводит в движение топливные насосы
высокого давления, а другой — выпускные
клапаны. Установка двух распределительных
валов вызвана необходимостью их поворота
в разные стороны при реверсировании
дизеля (рис. 12, а и б) или на разные углы
при вращении в одну сторону. Действительно,
при перемене стороны вращения (из
положения а в положение б) вал с кулачковыми
шайбами выпускных клапанов необходимо
повернуть против часовой стрелки, а вал
с кулачковыми шайбами ТНВД — по часовой
стрелке.
Однако при
использовании кулачковых шайб с вогнутым
профилем (рис. 12, в и г) при реверсировании
дизеля шайбы ТНВД и выпускных клапанов
поворачиваются в одну сторону, благодаря
чему все шайбы могут быть размещены
на одном распределительном валу. Но
применение шайб с таким профилем
резко уменьшает время наполнения
надплунжерного пространства топливом.
Чтобы компенсировать указанный
недостаток, наполнение в насосах
осуществляют через всасывающий клапан
с большим проходным сечением, что
усложнило конструкцию ТНВД.
Участок профиля
кулачковой шайбы ТНВД, соответствующий
геометрическому активному ходу плунжера
на всех позициях рис. 12 показан отрезком
а — b.
|
|
Рис.12. Схемы реверсирования топливных |
Соседние файлы в предмете [НЕСОРТИРОВАННОЕ]
- #
- #
- #
- #
- #
- #
- #
- #
- #
- #
- #











